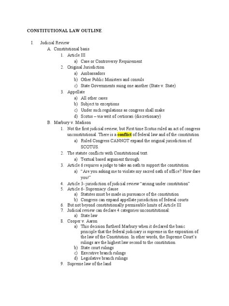
Constitutional Law Explained: Free PDF Guide

V.Redandblue 136 views
Constitutional Law Explained: Free PDF Guide

Constitutional Law Explained: Free PDF Guide

Hey guys! Ever found yourself staring at a thick textbook, wondering what constitutional law is all about? You’re not alone! Many of us get a bit intimidated by legal jargon, but understanding the basics of constitutional law is super important for everyone. It’s the foundation of our government and shapes the rights and freedoms we enjoy every single day. So, grab a coffee, settle in, and let’s break down this essential topic. We’re going to dive deep into what constitutional law is, why it matters, and how you can get your hands on some awesome free resources, like a constitutional law pdf , to help you learn more. We’ll explore its origins, key principles, and how it impacts our lives, making it accessible and, dare I say, even interesting ! Think of this as your friendly guide to navigating the complex world of constitutional law, without the stuffy courtroom drama. We’ll cover everything from the big picture of how constitutions are made to the nitty-gritty of how they are interpreted and applied. By the end of this, you’ll have a solid grasp of this fundamental area of law and know where to find reliable information, including that handy constitutional law pdf you’ve been looking for.

What Exactly is Constitutional Law, Anyway?

So, what is constitutional law ? At its core, it’s the body of law that interprets and implements the constitution of a country. Think of the constitution as the ultimate rulebook for how a nation is run. It outlines the structure of the government, defines the powers of its different branches (like the legislative, executive, and judicial), and, crucially, guarantees the fundamental rights and freedoms of its citizens. Constitutional law isn’t just about ancient documents; it’s a living, breathing set of principles that evolves over time through judicial decisions, amendments, and societal changes. It’s the bedrock upon which all other laws are built. If a law passed by the legislature contradicts the constitution, then, boom , it’s unconstitutional and invalid. Pretty neat, right? It ensures that no branch of government oversteps its boundaries and that the government always acts in accordance with the fundamental principles laid out in the constitution. This means understanding constitutional law is key to understanding your own rights and the limits of governmental power. It’s like the operating system for a country; everything else runs on top of it. Without a solid constitution and the laws that interpret it, you’d have chaos! We’ll be touching on some really cool historical aspects and landmark cases that have shaped constitutional law as we know it today. And don’t worry, we’ll keep it light and relatable. If you’re looking to get started with some reading, searching for a constitutional law pdf online can be a great way to access foundational texts and analyses without breaking the bank.

Why Should You Care About Constitutional Law?

Okay, I know what some of you might be thinking: “Legal stuff? That sounds boring and complicated!” But seriously, guys, constitutional law affects everything . It dictates who can run for office, how laws are made, and what rights you have as a citizen. It’s the reason you can say what you think (freedom of speech!), practice your religion (or not!), and expect a fair trial if you’re ever in trouble. These aren’t small things; they are the very fabric of a free and democratic society. Understanding constitutional law empowers you. It helps you understand your rights, hold your government accountable, and participate more effectively in civic life. When you know how the system is supposed to work, you can spot when it’s not working. It’s about ensuring that power is checked and balanced, and that the government serves the people, not the other way around. Whether you’re a student studying law, a budding political enthusiast, or just a curious citizen, having a basic understanding of constitutional law is a superpower. It allows you to engage in informed discussions about public policy and the direction of your country. Plus, it’s fascinating to see how these legal principles have evolved over centuries and continue to shape our modern world. For students and academics, finding a comprehensive constitutional law pdf can be an invaluable tool for studying and research, offering detailed insights into this crucial field.

The Roots of Constitutional Law: Where Did It All Begin?

To truly get a handle on constitutional law , it helps to know where it came from. Most modern constitutional law traces its roots back to ancient Greece and Rome, but the big leaps happened much later. Think Enlightenment thinkers like John Locke and Montesquieu, who championed ideas like natural rights, separation of powers, and government by consent of the governed. These ideas were revolutionary! They challenged the divine right of kings and paved the way for governments that were accountable to the people. The most famous early example is the United States Constitution, drafted in 1787. It was a groundbreaking document that established a federal republic with a system of checks and balances. Other countries followed suit, adapting these principles to their own histories and cultures. The concept of a written constitution, which clearly defines the powers and limits of government, became the gold standard. However, constitutional law isn’t static. It’s a dynamic field shaped by historical events, societal shifts, and ongoing debates about justice and fairness. Landmark court cases, like those in the US Supreme Court, constantly interpret and re-interpret the constitution, adapting its principles to new challenges. For example, cases dealing with civil rights, privacy, or freedom of the press demonstrate how constitutional law is a living document. Understanding this historical context gives you a better appreciation for the principles enshrined in constitutions today and the struggles involved in establishing them. Many historical documents and analyses can be found online, making a constitutional law pdf a great way to explore these foundational texts.

Key Principles of Constitutional Law You Need to Know

Alright, let’s talk about some of the core concepts that make constitutional law tick. First up is the supremacy of the constitution . This means the constitution is the highest law of the land. Any law or government action that conflicts with it is void. It’s the ultimate authority. Then we have the separation of powers . This is the idea that governmental power shouldn’t be concentrated in one place. Instead, it’s divided among different branches – usually the legislative (makes laws), executive (enforces laws), and judicial (interprets laws). This prevents any one branch from becoming too powerful. Hand-in-hand with that is the principle of checks and balances . This system allows each branch to limit the powers of the others. For instance, a president might veto a law passed by Congress, or Congress might impeach a president. The courts can also strike down laws they deem unconstitutional. Another crucial element is judicial review . This is the power of the courts to review laws and government actions and decide if they are constitutional. This power is particularly important for protecting individual rights. Finally, and perhaps most importantly for us as individuals, are fundamental rights and freedoms . These are the rights guaranteed to citizens, like freedom of speech, religion, assembly, and the right to due process. Constitutional law is all about protecting these rights from government infringement. Understanding these pillars gives you a powerful lens through which to view how your government operates and how your rights are protected. If you’re diving into your studies, a good constitutional law pdf often dedicates entire sections to explaining these foundational principles in detail.

How Constitutional Law Impacts Your Daily Life

It might seem abstract, but constitutional law is woven into the very fabric of our daily lives, guys. Think about it: the freedom of speech you exercise when posting online or talking with friends? That’s protected by the constitution. The right to vote and choose your representatives? Constitutional. The fact that you can practice your religion freely, or not practice any religion at all? Yep, constitutional law at work. Even seemingly mundane things like the due process you’re entitled to if accused of a crime, or the right to privacy in your home, are all grounded in constitutional principles. Constitutional law sets the rules for how public services are delivered, how elections are conducted, and how the government interacts with its citizens. It dictates the powers of the police, the fairness of the courts, and the rights you have as an employee or a consumer. When new laws are proposed, they are often analyzed through the lens of constitutional law to ensure they don’t infringe on fundamental rights. Debates about issues like healthcare, education, or environmental protection often boil down to constitutional questions about governmental authority and individual liberties. So, while you might not be citing constitutional clauses every day, its influence is constant and pervasive, shaping the society you live in and the freedoms you can enjoy. Keeping a constitutional law pdf handy can help you understand the legal basis for these rights and freedoms whenever questions arise.

Finding and Using a Constitutional Law PDF

Now that we’ve covered why constitutional law is so important, let’s talk about how you can learn more. One of the most accessible ways to dive deeper is by finding a good constitutional law pdf . The internet is a treasure trove of information, and many universities, legal organizations, and government bodies offer free downloadable resources. These PDFs can range from introductory overviews and study guides to full casebooks and analyses of specific constitutional issues. When you’re searching for a constitutional law pdf , look for reputable sources. University law school websites, government archives, and established legal education platforms are usually reliable. Be wary of outdated materials or unofficial summaries that might lack accuracy. A good PDF will often provide clear explanations of key concepts, historical context, and relevant case law. They can be incredibly useful for students preparing for exams, researchers, or anyone simply curious about the subject. You can print them out, read them on your tablet, or access them anytime, anywhere. It’s a fantastic way to get a solid foundation in constitutional law without the cost of expensive textbooks. Many PDFs also include glossaries of legal terms, which are super helpful when you’re first starting out. Remember, knowledge is power, and having a readily available constitutional law pdf is a great step towards understanding your rights and the framework of your government.

Tips for Studying Constitutional Law with a PDF

Using a constitutional law pdf effectively can make a huge difference in your learning experience, guys. First off, don’t just passively read it. Actively engage with the material. Take notes, highlight key terms, and try to summarize concepts in your own words. If the PDF includes case studies, try to identify the constitutional issues at play and how the court ruled. Think about how those principles apply to modern situations. Many PDFs offer section summaries or outlines, which are excellent for review. Use them! Create your own flashcards for important terms and landmark cases. If you’re studying with others, discuss the material. Explaining concepts to someone else is one of the best ways to solidify your own understanding. Constitutional law can be complex, so talking it through can reveal gaps in your knowledge. Don’t be afraid to do a little extra research if something isn’t clear. Use your PDF as a starting point and then explore related topics online or in other resources. Look for PDFs that have quizzes or review questions at the end of chapters – these are invaluable for testing your comprehension. And finally, remember that constitutional law is about real-world impact. Try to connect the legal principles you’re learning to current events and issues you see in the news. This makes the subject much more relevant and easier to remember. A well-chosen constitutional law pdf is a powerful study tool when used strategically!

The Future of Constitutional Law and Where to Find More Resources

As society evolves, so too does constitutional law . New technologies, changing social norms, and global challenges constantly present new questions that constitutions and the laws interpreting them must address. Think about issues like data privacy in the digital age, the legal status of artificial intelligence, or the constitutional implications of climate change. These are the frontier issues that legal scholars and courts are grappling with today. The interpretation and application of constitutional principles will continue to adapt to meet these modern demands, ensuring that the fundamental rights and governmental structures remain relevant. Staying informed about these developments is key to understanding the ongoing relevance of constitutional law . For those of you eager to continue your learning journey, there are abundant resources available beyond just a basic constitutional law pdf . Many university law libraries offer extensive online databases and digital archives. Reputable legal news websites and academic journals provide up-to-the-minute analysis of constitutional cases and debates. Look for websites of constitutional law centers, think tanks, and legal advocacy groups, as they often publish insightful articles and reports. Following prominent constitutional law scholars on social media or subscribing to legal newsletters can also be a great way to stay current. Remember, understanding constitutional law is a continuous process, and the more you engage with it, the more you’ll appreciate its vital role in shaping our world. Keep exploring, keep questioning, and keep learning!