Mastering Disjoint Set Union: A Coding Ninjas Guide

V.Redandblue 114 views
Mastering Disjoint Set Union: A Coding Ninjas Guide

Mastering Disjoint Set Union: A Coding Ninjas Guide

Hey guys! Ever stumble upon the term Disjoint Set Union (DSU) while diving into the world of algorithms and data structures? If you’re a coding enthusiast, especially if you’re working through problems on platforms like Coding Ninjas, you’ve probably encountered this powerful tool. DSU, also known as the Union-Find algorithm , is a must-know concept for efficiently handling problems involving sets, connectivity, and grouping. It’s like having a super-powered organizer that can quickly tell you which group an element belongs to and merge groups together. We’re going to break down DSU, specifically focusing on the Union by Rank optimization, which helps us speed things up significantly. So, buckle up; we’re about to explore the ins and outs of this fantastic algorithm, making sure you’re well-equipped to tackle DSU-related challenges on Coding Ninjas and beyond.

Let’s be real, understanding DSU isn’t just about memorizing some code; it’s about grasping the underlying principles. Essentially, DSU deals with a collection of non-overlapping sets. Think of it like different groups of friends, where no one person belongs to multiple groups at once. The two primary operations in DSU are Union and Find . The Union operation merges two sets into one, while the Find operation determines which set a particular element belongs to. The beauty of DSU lies in its ability to perform these operations very efficiently, particularly when optimized. This efficiency is critical in various applications, from network connectivity problems to Kruskal’s algorithm for finding the Minimum Spanning Tree (MST).

In this article, we’ll dive deep into DSU. We’ll start by understanding the basic concepts of DSU, then move on to the Union by Rank optimization. We’ll also look at how to implement DSU in code, and explore some practical examples of how to use it to solve problems. By the end, you’ll have a solid grasp of DSU, be ready to tackle related problems, and you’ll be able to explain it to your friends. The Union by Rank optimization is like giving your DSU algorithm a turbo boost. Without optimization, the Find and Union operations can sometimes take a long time, especially when dealing with a large number of elements or frequent merges. But with Union by Rank , we can significantly improve the performance. The key idea is to keep track of the “rank” or “height” of each set’s tree. When merging two sets, we attach the shorter tree (the one with lower rank) under the taller tree (the one with higher rank). This helps prevent the creation of tall, unbalanced trees, which can slow down the Find operation. This is super helpful when you’re working on coding challenges on platforms like Coding Ninjas, because every millisecond counts!

The Core Concepts of Disjoint Set Union

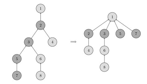
Alright, let’s get down to the basics. At its core, Disjoint Set Union (DSU) is all about managing a collection of sets where each element belongs to only one set. Think of it like this: you have a bunch of boxes, and each box contains some items. The DSU algorithm helps you figure out which box an item is in (the Find operation) and helps you combine two boxes into one (the Union operation). In DSU, each set is often represented by a tree structure, where each node in the tree represents an element, and the parent of a node points to another element within the same set. The root of the tree serves as the representative of the set. So, if you want to know which set an element belongs to, you just need to trace its path up the tree until you reach the root. This is how the Find operation works. It’s like finding the ultimate boss of a group. And that boss represents the whole group. The Union operation is a bit different. It merges two sets by attaching the root of one tree to the root of the other tree. This action effectively merges the two sets into a single set, combining their elements. But the basic DSU, without optimizations, can become inefficient if the trees become very tall (skewed), because the Find operations would then take a lot of time as you have to traverse a long path.

Now, let’s look at the two essential operations in detail: Find and Union . The Find operation, as mentioned earlier, is about determining the set to which an element belongs. To perform a Find operation, you start at the element and traverse up the tree, following the parent pointers until you reach the root, which is the representative of the set. This root node essentially tells us which set our element belongs to. The Union operation, on the other hand, is about merging two sets. To perform a Union operation, you first find the roots of the two sets you want to merge (using the Find operation). Then, you attach the root of one tree to the root of the other tree, effectively combining the two sets. This merging process updates the set structure, reflecting that the elements of the two sets now belong to a single, combined set. The efficiency of these operations is crucial for the overall performance of DSU. And this is where the Union by Rank comes to the rescue.

To better illustrate this, let’s consider a simple example. Suppose we have the following sets: Set A = {1, 2, 3} and Set B = {4, 5}. If we want to merge these sets using the Union operation, we’ll first find the representatives of each set (let’s say 1 for Set A and 4 for Set B). We then attach the root of one set’s tree to the other. For instance, we could make 4 the parent of 1, effectively merging the two sets into a single set: {1, 2, 3, 4, 5}. Now, whenever we perform a Find operation on any element, we’ll trace a path to the root. In this merged set, elements 1, 2, and 3 will lead to 4, which is the root of the combined set, as 4 itself will be the root. Understanding this basic mechanism is vital before we introduce the Union by Rank optimization, which dramatically improves the efficiency of these operations.

Deep Dive into Union by Rank Optimization

Okay, so let’s talk about making DSU super-efficient with Union by Rank . This optimization is all about preventing our trees from becoming too tall and unbalanced. The height of the trees impacts the Find operation’s time complexity. The taller a tree is, the longer it takes to find the root. Union by Rank helps maintain a balanced tree structure, leading to faster Find operations. The core idea behind Union by Rank is to track the “rank” or “height” of each set’s tree. The rank isn’t necessarily the exact height of the tree but rather an estimation. Initially, each element starts with a rank of 0. When we perform a Union operation, we compare the ranks of the two sets’ roots. We then attach the tree with the smaller rank to the tree with the larger rank. If the ranks are equal, we arbitrarily attach one tree to the other, and increase the rank of the new root by 1. This strategy ensures that we prioritize attaching shorter trees to taller trees, which keeps the overall tree structure relatively balanced. In essence, Union by Rank is like making sure the tallest tree doesn’t get even taller by merging with shorter trees. It is about keeping the trees as flat as possible, which reduces the time needed to find the root.

So, how does this optimization work in practice? When performing a Union operation using Union by Rank , first, you’ll use the Find operation to determine the roots of the two sets you want to merge. Then, you compare the ranks of these two roots. If one rank is higher than the other, you attach the root with the lower rank to the root with the higher rank. This way, you don’t increase the overall height of the tree. If both ranks are the same, you can arbitrarily choose one root to be the parent of the other. But in this case, you will increase the rank of the new root by 1, to reflect the fact that the height of the tree has increased. This step ensures that you keep the tree as balanced as possible while merging sets. The primary goal is to minimize the path lengths in the trees, making the Find operations faster. By prioritizing the merging of smaller trees into larger ones and updating the ranks accordingly, we maintain the balance of the tree and optimize the performance of DSU. This optimization is particularly important when dealing with large datasets or when performing many Union and Find operations, making your code run much faster, and that’s essential for those coding competitions on Coding Ninjas!

Let’s solidify this with an example. Imagine we have two sets: Set A with root 1 and rank 2, and Set B with root 4 and rank 1. When we perform Union(A, B) , we compare their ranks. Since Set A’s rank (2) is greater than Set B’s rank (1), we attach Set B’s root (4) to Set A’s root (1). The rank of Set A remains 2, because we didn’t increase the tree’s height by merging. On the other hand, if both sets have the same rank, say rank 1, and we merge them, we arbitrarily choose one as the parent, and we increase the rank of the new parent to 2. This systematic approach ensures that the trees are kept relatively flat, keeping the Find operation time complexity near to O(α(n)), where α(n) is the inverse Ackermann function, which grows so slowly it’s practically constant for all practical values of n. This is a game-changer when you’re working on optimization problems.

Implementing Union by Rank in Code

Now, let’s get our hands dirty and implement the Union by Rank optimization in code. You’ll typically use two arrays for implementing DSU: one to store the parent of each element and another to store the rank of each set. Let’s look at how to code it in a language like Python or C++, since these are popular in coding environments like Coding Ninjas. First, you initialize these arrays. Initially, each element is its own set, so its parent is itself, and its rank is 0. Then, you’ll need two main functions: find() and union_sets() . These functions will implement the Find and Union operations, respectively. The beauty of these implementations lies in their simplicity and efficiency, especially with the Union by Rank optimization. Here are basic code snippets to get you started (Python examples).

# Initialize parent and rank arrays
def initialize(n):
    parent = [i for i in range(n)]
    rank = [0] * n
    return parent, rank

# Find operation with path compression
def find(parent, i):
    if parent[i] == i:
        return i
    parent[i] = find(parent, parent[i])  # Path compression
    return parent[i]

# Union by Rank operation
def union_sets(parent, rank, a, b):
    root_a = find(parent, a)
    root_b = find(parent, b)

    if root_a != root_b:
        if rank[root_a] < rank[root_b]:
            parent[root_a] = root_b
        elif rank[root_a] > rank[root_b]:
            parent[root_b] = root_a
        else:
            parent[root_b] = root_a
            rank[root_a] += 1

In the initialize() function, we create the parent and rank arrays. Each element’s parent is initially itself, and the rank is set to 0. The find() function performs the Find operation. In this function, the root is found by traversing up the tree until we reach the element that is its own parent. A crucial optimization here is path compression , which makes every node on the path point directly to the root, making subsequent Find operations faster. Path compression is a smart way to flatten the tree structure during the Find operation. Every time you perform a Find operation, you update the parent pointers of all the nodes along the path to point directly to the root. This flattens the tree, minimizing the time needed for future Find operations. This reduces the height of the tree, significantly improving efficiency. The union_sets() function performs the Union operation with Union by Rank . It first finds the roots of the two sets. If the roots are different, it merges the sets based on their ranks, attaching the tree with the smaller rank to the tree with the larger rank. If the ranks are the same, it arbitrarily attaches one tree to the other and increases the rank of the new root. This code is the core of DSU with Union by Rank , which can be easily adapted to C++, Java, or other programming languages. In C++, you’d use vectors or arrays, with similar logic for finding and merging sets, and path compression is implemented in the same way, making it equally effective for your coding endeavors.

Practical Applications and Problem Solving

So, where does Disjoint Set Union with Union by Rank come into play? This algorithm is a versatile tool for tackling various problems in computer science. One of the classic applications is in solving problems related to connectivity and graph theory . For instance, in problems where you’re given a graph and need to determine if there’s a path between two nodes, DSU can do this very efficiently. It can also be used to find cycles in a graph. If adding an edge to a graph creates a cycle, you can detect this by checking if the endpoints of the edge already belong to the same set. If they do, adding the edge would create a cycle. DSU is especially useful when the graph is dynamic and you need to perform many union and find operations. You can think of it as a toolkit for understanding how things connect in a network.

Let’s consider another example: Kruskal’s algorithm for finding the Minimum Spanning Tree (MST) of a graph. Kruskal’s algorithm efficiently finds the MST by iteratively adding edges to the MST. It uses DSU to keep track of the connected components formed by the added edges. By using DSU to determine whether adding an edge would create a cycle, Kruskal’s algorithm ensures that it adds only edges that don’t violate the tree’s structure. This is a very common interview question and a useful concept to know. The Union by Rank optimization is very important here to improve the speed of Find operations because Kruskal’s algorithm uses these operations extensively. For example, if you’re given a set of cities, and the cost of building roads between these cities, DSU helps determine the most cost-effective way to connect all the cities. Another common application is in clustering problems, where you need to group similar items. For instance, in image processing, DSU can be used to group connected pixels. In a coding competition, you might encounter problems where you need to group connected components in a grid or determine the number of islands. The Union by Rank optimization helps in scaling the algorithm to be used on larger datasets, which is important for any problem that you may encounter in the real world.

To solidify your understanding, let’s think about how you might approach a Coding Ninjas problem involving DSU. First, identify if the problem can be modeled using disjoint sets. Does it involve grouping elements, checking connectivity, or merging sets? If so, DSU is probably a good choice. Next, identify the Union and Find operations that you need to perform in the context of the problem. Then, implement the DSU, including the Union by Rank and path compression optimizations. Write your code cleanly and make sure it’s optimized. Finally, test your solution thoroughly using a variety of test cases, paying close attention to edge cases and boundary conditions. Be prepared to handle different scenarios, and consider how the Union by Rank helps make the algorithm efficient, particularly when dealing with large datasets or complex relationships. The ability to correctly identify and apply DSU is a valuable skill in your toolkit, which can help you get more problems solved on Coding Ninjas.

Conclusion: Mastering DSU for Coding Success

Alright, folks, we’ve covered a lot of ground today! We’ve journeyed through the world of Disjoint Set Union (DSU) , focusing on the Union by Rank optimization, and understanding its core concepts. Remember, DSU is an incredibly powerful tool for solving problems that involve sets, connectivity, and grouping. We’ve explored how DSU works, the importance of Union by Rank , how to implement it in code, and some practical applications. This optimization significantly enhances the performance of DSU. With this knowledge, you’re well-equipped to tackle DSU-related problems on Coding Ninjas and other competitive programming platforms.

To summarize, the key takeaways from our exploration are:

  • DSU Basics : DSU efficiently handles sets and set operations.
  • Union by Rank : Optimizes DSU by balancing tree heights during Union operations.
  • Implementation : How to code DSU using parent and rank arrays, including path compression.
  • Applications : Practical use cases like connectivity, Kruskal’s algorithm, and clustering.

So, as you continue your coding journey, remember the power of DSU. Practice is essential, so don’t hesitate to work on some problems, and experiment with the code! As you build your skills, you’ll become more comfortable and confident with DSU. Always try to understand the underlying principles and how the optimizations work. This will help you choose the right data structure and apply it effectively in real-world scenarios. By mastering DSU with the Union by Rank optimization, you’ll be well-prepared to tackle a wide variety of coding challenges and ace your coding interviews. So, keep coding, keep learning, and keep growing! Good luck, and happy coding, guys!