NPR & NCR In Math: Understanding Permutations & Combinations

V.Redandblue 130 views
NPR & NCR In Math: Understanding Permutations & Combinations

NPR & NCR in Math: Understanding Permutations & Combinations

Hey guys! Ever stumbled upon those math problems that ask about arrangements or selections, and you’re not quite sure where to start? We’re talking about NPR and NCR in math, which are super handy tools for tackling these kinds of questions. Think of them as your secret weapons for solving problems involving permutations and combinations. Today, we’re going to break down exactly what these concepts mean, how they work, and why they’re so darn useful in the world of mathematics and beyond. So, grab a comfy seat, maybe a snack, and let’s dive into the fascinating realm of how order matters (or doesn’t!) when we’re dealing with sets of items.

Decoding NPR: The Magic of Permutations

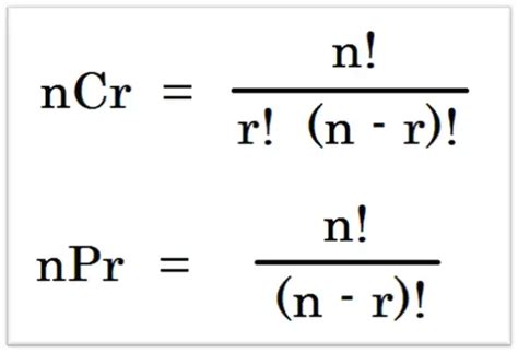
Alright, let’s kick things off with NPR , which stands for Permutations . The key word here, guys, is order . Permutations are all about figuring out how many different ways you can arrange a set of items when the order in which you arrange them absolutely matters . Imagine you’ve got a few books, and you want to stack them on a shelf. The order in which you stack them creates a totally different look, right? That’s the essence of permutations. Mathematically, NPR calculates the number of ways to choose and arrange r items from a set of n distinct items. The formula looks like this: P(n, r) = n! / (n-r)! . Let’s break that down. The ‘n!’ (pronounced ‘n factorial’) means you multiply n by every whole number less than it, all the way down to 1. So, 5! is 5 * 4 * 3 * 2 * 1 = 120. And ‘(n-r)!’ is the factorial of the difference between n and r . So, if you have 5 books (n=5) and you want to arrange 3 of them on a shelf (r=3), the number of permutations would be P(5, 3) = 5! / (5-3)! = 5! / 2! = (5 * 4 * 3 * 2 * 1) / (2 * 1) = 120 / 2 = 60. That means there are 60 distinct ways to arrange those 3 books out of the 5. See? Order is king here. This concept pops up everywhere, from figuring out the number of possible finishing orders in a race to determining how many unique passwords you can create with a given set of characters. It’s all about arrangements , and remember, order matters !

Why Order Matters in Permutations

To really nail down the concept of permutations, let’s dive a bit deeper into why order matters. Think about a simple scenario: assigning roles in a small team. Suppose you have three team members – Alice, Bob, and Carol – and you need to choose a President and a Vice-President. Here, the order in which you select them is crucial. If you choose Alice as President and Bob as Vice-President, that’s a completely different outcome than choosing Bob as President and Alice as Vice-President. Both scenarios involve selecting Alice and Bob, but the arrangement of their roles creates distinct possibilities. Using the permutation formula, we have n=3 (Alice, Bob, Carol) and r=2 (President, Vice-President). So, P(3, 2) = 3! / (3-2)! = 3! / 1! = (3 * 2 * 1) / 1 = 6. Let’s list them out to see: (Alice-Pres, Bob-VP), (Alice-Pres, Carol-VP), (Bob-Pres, Alice-VP), (Bob-Pres, Carol-VP), (Carol-Pres, Alice-VP), (Carol-Pres, Bob-VP). Yep, that’s six unique ways. Each arrangement signifies a different leadership structure. This is fundamentally different from just choosing two people without assigning them specific roles. In permutations, every single position or sequence is unique and contributes to a different overall outcome. This principle extends to real-world applications like creating unique license plates, determining the order of songs on a playlist, or even the sequence of steps in a complex manufacturing process. Whenever the specific placement or order of items dictates a different result, you’re dealing with permutations. It’s this emphasis on arrangement that makes permutations a powerful tool for problem-solving.

Unpacking NCR: The Beauty of Combinations

Now, let’s shift gears and talk about NCR , which stands for Combinations . Unlike permutations, the order does not matter in combinations. Here, we’re just interested in how many different groups you can form from a larger set, regardless of the sequence. Think back to our book example. If you just want to know how many different sets of 3 books you can pick from a shelf of 5, without caring about the stacking order, that’s a combination. NCR calculates the number of ways to choose r items from a set of n distinct items, where the order of selection is irrelevant. The formula for combinations is C(n, r) = n! / (r! * (n-r)!) . Notice the extra ‘r!’ in the denominator compared to the permutation formula. This is because combinations divide out all the redundant arrangements that permutations count. Using our book example again: if you have 5 books (n=5) and you want to choose a group of 3 (r=3), the number of combinations would be C(5, 3) = 5! / (3! * (5-3)!) = 5! / (3! * 2!) = (5 * 4 * 3 * 2 * 1) / ((3 * 2 * 1) * (2 * 1)) = 120 / (6 * 2) = 120 / 12 = 10. So, there are only 10 different groups of 3 books you can select from the 5, without worrying about how they are arranged. Combinations are super useful when you’re picking a team for a game, selecting ingredients for a recipe, or choosing a committee. It’s all about selection , and the order doesn’t matter !

When Order Doesn’t Matter in Combinations

To truly appreciate combinations, let’s really hammer home the idea that order doesn’t matter . Let’s revisit our team scenario, but this time, instead of assigning roles, we just need to pick two people to attend a conference. If you pick Alice and Bob, it’s the same outcome as picking Bob and Alice. The group attending the conference is {Alice, Bob}, regardless of who was