Understanding Oscillations: What They Are & Why They Matter

V.Redandblue 50 views
Understanding Oscillations: What They Are & Why They Matter

Understanding Oscillations: What They Are & Why They Matter

What Exactly Are Oscillations? The Core Concept

Hey there, guys! Ever wondered why a pendulum swings back and forth, or why your guitar string vibrates when you pluck it? These everyday phenomena, and countless more in the universe, are perfect examples of what we call oscillations . At its core, an oscillation is simply a repetitive, back-and-forth or up-and-down motion around a central, stable point known as the equilibrium position . Think about it: when you push a child on a swing, the swing moves away from its resting point, comes back, passes the resting point, moves to the other side, and then returns again. This rhythmic, predictable dance is the very essence of oscillatory motion. It’s a fundamental concept in physics that helps us understand everything from the tiny vibrations of atoms to the enormous orbits of planets (though planetary orbits are more periodic than strictly oscillatory around a single point, they share the repetitive nature). Whether you’re a budding scientist, a curious learner, or just someone who wants to understand the world a little better, grasping the meaning of oscillations is a huge step. These fascinating movements aren’t just abstract ideas found in textbooks; they’re literally all around us, shaping the sounds we hear, the light we see, and the technology we rely on daily. We’re talking about the beating of your heart, the ripples in a pond, the electrical signals in your brain, and even the waves that power your Wi-Fi! Understanding oscillations means understanding a key mechanism by which energy is transferred and how systems maintain their dynamic balance. So, let’s dive deep into this rhythmic world and uncover the fundamental principles that govern these captivating movements. We’ll explore the key players like equilibrium, restoring force, amplitude, period, and frequency, breaking them down into easy-to-digest chunks. This journey will show you just how interconnected and fascinating the world of periodic motion truly is, providing a solid foundation for comprehending more complex physical phenomena. So, buckle up, because we’re about to demystify one of nature’s most elegant dances – the humble, yet powerful, oscillation.

The Essential Ingredients: Key Characteristics of Oscillations

Alright, folks, now that we’ve got a handle on the basic idea of oscillations , let’s peel back the layers and look at the key characteristics that define these repetitive movements. Just like baking a cake requires specific ingredients, an oscillation needs certain components to exist and behave the way it does. Understanding these essential ingredients is crucial because they allow us to describe, predict, and even control oscillatory systems in the real world. From the simplest pendulum to the most complex electronic circuit, these fundamental properties are always at play. Let’s break down each one, exploring how they contribute to the mesmerizing dance of an object in periodic motion . We’re talking about the stable point where it wants to be, the force that pulls it back, how far it actually goes, and the speed and rhythm of its movement. These aren’t just technical terms; they are the descriptive language of nature’s endless vibrations and cycles.

Equilibrium Position: The Heart of the Motion

When we talk about oscillations , the equilibrium position is arguably the most crucial starting point. Imagine a perfectly balanced seesaw, or a spring hanging freely without any weights attached to it. That’s its equilibrium position . Simply put, it’s the point where an object experiencing oscillatory motion would naturally rest if there were no external disturbances and no initial push or pull. At this specific point, the net force acting on the object is exactly zero. All the forces are balanced, meaning there’s no tendency for the object to accelerate in any particular direction. If you were to place the object perfectly at its equilibrium and give it no initial velocity, it would just stay there, chilling out. However, the moment you displace it from this stable equilibrium , a magical thing happens: a restoring force kicks in, trying to pull or push it back to where it belongs. This constant tug-of-war between displacement and the restoring force is what sets up the oscillatory behavior. For instance, consider a simple pendulum: its equilibrium position is when the bob hangs straight down, perfectly still. If you pull it to the side, gravity creates a restoring force trying to bring it back to that vertical position. Or think about a mass attached to a spring: its equilibrium is where the spring is neither stretched nor compressed. Pull the mass down, and the spring pulls it back up; push it up, and the spring pushes it back down. This equilibrium position acts as the central axis around which all the back-and-forth movement revolves, making it the fundamental reference point for measuring other characteristics of the oscillation. Without a stable equilibrium to return to, you wouldn’t get sustained oscillations ; you’d just get a one-way trip! So, remember, the equilibrium position isn’t just a place; it’s the defining center of the oscillatory universe, dictating where the system ultimately strives to be.

Restoring Force: The Push and Pull Back

Alright, let’s talk about the unsung hero of oscillations : the restoring force . We just mentioned that an object in oscillatory motion is always trying to get back to its equilibrium position . Well, the restoring force is the dedicated bouncer, always pushing or pulling it back to that sweet spot! It’s the force that always acts in the opposite direction of the displacement from equilibrium. So, if you move an object to the right from equilibrium, the restoring force will pull it back to the left. Move it down, and the restoring force pulls it back up. This characteristic is absolutely essential for any system to oscillate . Without it, once you displace an object, it would either stay displaced or just keep moving away, never returning to perform that rhythmic dance. A classic example, and perhaps the easiest to visualize, is a spring. When you stretch a spring, it tries to pull back (tension). When you compress it, it tries to push back (compression). This behavior is beautifully described by Hooke’s Law , which states that the restoring force exerted by an ideal spring is directly proportional to its displacement from equilibrium and acts in the opposite direction (F = -kx, where ‘k’ is the spring constant and ‘x’ is the displacement). The negative sign is super important here, as it signifies that restoring nature. For a simple pendulum, the restoring force is a component of gravity, always trying to bring the pendulum bob back to its lowest point. The stronger the displacement, generally the stronger the restoring force (up to a certain limit, of course). This relationship is what drives the periodic motion ; it’s what ensures that once displaced, the object doesn’t just stop but actually overshoots the equilibrium, setting up the movement in the other direction, where the restoring force then acts to bring it back again. Think of it as a constant negotiation between the object’s inertia (its tendency to keep moving) and this persistent restoring force, creating the continuous back-and-forth swing. Without this crucial force, oscillations simply wouldn’t exist, making it a cornerstone for understanding any form of repetitive motion.

Amplitude: How Far Does It Go?

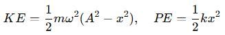
Now, let’s talk about amplitude , which basically tells us how big an oscillation is. Imagine pushing a child on a swing. The amplitude would be the maximum distance the swing moves away from its central, equilibrium position in either direction. It’s the furthest point of displacement from that stable resting place. So, if you pull a pendulum bob 10 centimeters to the side before releasing it, its initial amplitude is 10 centimeters. If a spring is stretched 5 inches from its natural length, the amplitude of the resulting vibration would be 5 inches. Amplitude is a crucial characteristic because it’s directly related to the energy contained within the oscillating system. A larger amplitude generally means more energy is stored in the system. Think about it: a swing pushed higher (larger amplitude) has more potential energy at its peak, and thus more kinetic energy as it rushes through the bottom. Similarly, a louder sound wave has a larger pressure amplitude, carrying more energy. A brighter light wave has a larger electric and magnetic field amplitude, indicating greater intensity. It’s important to note that for many simple oscillating systems, especially those undergoing Simple Harmonic Motion (which we’ll chat about soon!), the amplitude can remain constant if there’s no energy loss (no damping). However, in the real world, due to friction and other resistive forces, the amplitude often decreases over time as the system loses energy. This is what we call damped oscillations , and it’s why that swing eventually comes to a stop unless you keep pushing it. Measuring the amplitude gives us a quantitative way to describe the intensity or magnitude of the oscillation, letting us compare different vibrational movements. Whether it’s the gentle sway of a tree branch or the violent shake of an earthquake, the amplitude gives us a clear picture of the extent of the motion, making it an indispensable part of understanding the dynamic nature of oscillatory phenomena . So, when you’re looking at an oscillation, always ask yourself: